食品接觸表面的微生物污染長期存在,如何篩選出代表性抗菌化合物的消毒劑
與食品接觸的表面上存在細菌污染是食品加工業中一個長期存在的問題。乳制品和海產品加工裝置中存在單核細胞增生李斯特菌,肉類、乳制品和海產品加工裝置中存在金黃色葡萄球菌,堅果和堅果相關產品加工單元中存在腸沙門氏菌,牛肉加工表面存在大腸桿菌。
法國的一項調查表明,大約60%的食源性疾病與加工過程中病原體從受污染的設備轉移到食品有關。消毒劑和消毒劑的傳統測試通常使用AOAC使用稀釋法來監測處理過的細菌的生長/不生長,或者通過計算細胞的微生物對數減少來計算,這涉及到計數后存活的細菌細胞治療。這兩種方法都是耗時且勞動密集型的,oCelloScope微生物動態監測系統是一種自動明場光學顯微鏡,已用于監測對多種細菌的抗菌敏感性。oCelloScope的光軸與水平面成6.25°角傾斜,從而可以準確成像多孔板中液體培養基中高濃度和低濃度的細菌細胞。在每個讀取點以z堆棧的形式獲取多個圖像,其中包含聚焦圖像和逐漸失焦的圖像。盡管oCelloScope主要是明場,但傾斜技術的存在可以生成一些相位對比信息。oCelloScope軟件具有多種算法,可用于分析收集的數據。
細菌生長曲線由oCelloScope軟件通過測量隨時間從z堆棧收集的像素來生成。本研究旨在開發一種快速篩選抗菌劑以對抗表面的植物性細菌病原體的方法。被選為代表性抗菌化合物的消毒劑廣泛用于食品加工行業。使用oCelloScope數據來計算用NaOCl和BAC(苯扎氯銨)作為消毒劑處理后微量滴定板中干燥細菌細胞的微生物對數減少(MLR)。將該數據與在不銹鋼和幸存者上進行類似處理的細菌細胞的MLR進行比較通過電鍍回收。結果表明oCelloScope可用作快速確定溶解性抗菌化合物MLR的工具。
丹麥Biosense微生物生長動態監測系統的應用
使用oCelloScope分析粉狀細菌的生長,將細菌在75%RH的96孔板的孔內。20小時后,將200μL TSB添加到孔中,并使用oCelloScope隨時間監測細菌細胞。為了使用oCelloScope分析非干燥微生物的生長,腸炎沙門氏菌的過夜培養物在TSB中以250 rpm的速度在搖床上生長。隨后,將104–105 CFU/孔的接種物添加到96孔板的孔中,然后添加TSB并監測細菌數。用于分析抗菌藥物敏感性,對微量滴定板中的干燥細胞進行抗菌處理。將每種濃度的NaOCl或BAC 50微升(50μL)添加到孔中(每種濃度一式三份)并孵育30秒、1分鐘、3分鐘或5分鐘。處理后,加入200μL TSB+0.1%硫代硫酸鈉或TSB+0.7%卵磷脂在oCelloScope中監測細胞數量之前,分別加入孔中以中和NaOCl和BAC。將每個多孔板(96孔)置于oCelloScope內進行分析。圖像通過重復獲取,每個時間點收集10幅圖像。照明時間為2 m秒,像距固定為4.9μm。每2小時采集一次圖像,持續24小時或每30分鐘采集一次,持續4小時。選擇軟件UniExplorer上的背景校正吸收(BCA)算法和BCA歸一化算法進行分析。BCA算法利用所有z堆棧圖像數據,校正背景光強度,然后將圖像分為背景和對象像素。BCA算法提供了基于光吸收的準確細胞數數據,尤其是在細菌密度低的情況下。BCA歸一化值是通過從生長曲線上后續圖像的BCA值中減去第一張圖像的BCA值來計算的。分析了最佳焦點圖像以及z-stack視頻,以觀察細菌細胞因抗菌化合物而發生的任何形態變化。
實驗結論:
oCelloScope可用于有效監測細菌生長并生成細菌生長曲線。觀察到粉狀的腸炎沙門氏菌細胞的生長可以在干燥后24小時進行監測,而細胞活力沒有發生重大變化。觀察到的腸炎沙門氏菌S型生長曲線與傳統上通過光密度分析觀察到的結果一致。oCelloScope可用作量化抗菌劑功效的快速篩選方法。由于平板計數測定通常需要數天時間來量化抗菌化合物對病原體的影響,因此oCelloScope有可能節省寶貴的時間和精力。此外,使用oCelloScope進行分析所需的一次性用品明顯少于用于標準平板計數的一次性用品。這有助于降低實驗室成本和產生的廢物量,使其更加環保。研究證明oCelloScope可用于量化MLR和細菌生長的各種參數。它可用于分析溶解性抗菌化合物對細菌的功效,并可快速篩選食品行業中獨特的消毒配方。本文討論的方法可以在未來開發有效的抗菌化合物以改善衛生和全球食品安全方面發揮關鍵作用。
圖1、(A)添加TSB后干燥腸炎沙門氏菌的生長,使用oCelloScope測量并在24小時內量化(●)。使用背景校正吸收(BCA)算法分析生長。歸一化值是根據初始時間點(0 h)的BCA值計算的。不含腸炎沙門氏菌的TSB用作陰性對照(□)(B)oCelloScope圖像顯示TSB中腸炎沙門氏菌的細菌數量隨時間增加。明場圖像表明細菌的數量逐漸增加,直到大約16小時,之后細菌密度太高,BCA算法無法計算。
圖2、使用oCelloScope監測NaOCl處理后存活的腸炎沙門氏菌細胞的生長。用不同濃度的NaOCl處理微量滴定板中的細菌5分鐘,然后加入TSB+0.1%硫代硫酸鈉,并使用oCelloScope在室溫下監測生長24小時。使用(A)標準化BCA算法和(B)BCA(無標準化)算法繪制微生物的生長數據。用不含氯(●)、20 ppm游離氯(△)、50 ppm游離氯(■)或100 ppm游離氯(○)的溶液處理腸炎細胞。BCA圖(虛線框,B)零時間的數據點用于計算BCA減少。(C)oCelloScope圖像在用0、20、50或100 ppm游離氯處理后在零時間獲得的細菌的數量。
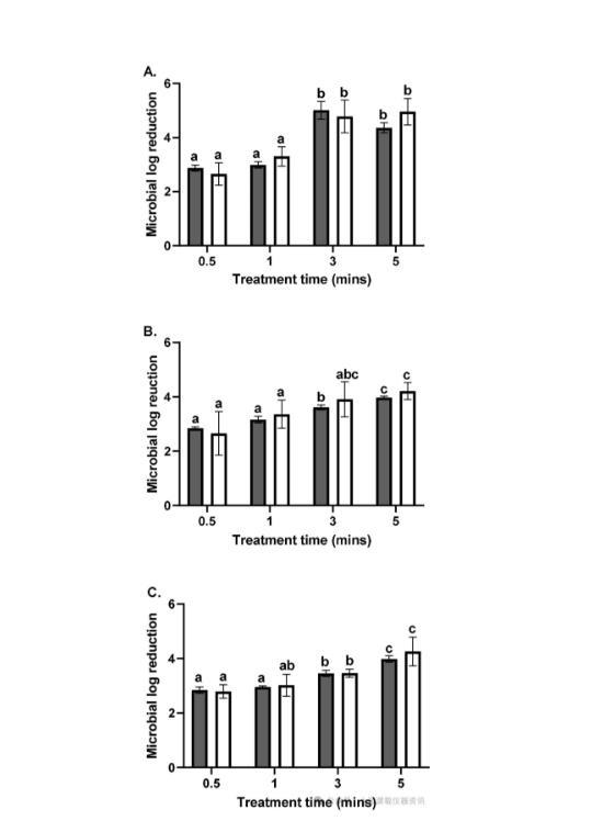
圖3、在NaOCl處理30秒、1分鐘、3分鐘和5分鐘后,使用BCA算法(灰色條)與傳統MLR量化測定(平板計數,白色條)比較微生物對數減少(MLR)。在用100 ppm游離氯處理粉狀的腸炎沙門氏菌(A)、大腸桿菌O157:H7(B)和單核細胞增生李斯特菌(C)細胞不同時間后,對MLR進行量化。相對于未處理的粉狀細菌的陰性對照計算對數減少(使用零時間的數據點)。使用雙向方差分析進行統計分析。對于每張圖,不同的字母在統計上是不同的。
圖4、在BAC處理30秒、1分鐘、3分鐘和5分鐘后,使用BCA算法(灰色條)與傳統MLR量化測定(白色條)比較微生物對數減少(MLR)。在用100 ppm BAC處理粉狀的腸炎沙門氏菌(A)和大腸桿菌O157:H7(B)和20 ppm BAC處理粉狀的單核細胞增生李斯特菌(C)細菌后,對MLR進行量化。相對于未處理的粉狀細菌的陰性對照計算對數減少(使用零時間的數據點)。使用雙向方差分析進行統計分析。
圖5、在存在或不存在姜黃素的情況下照射后大腸桿菌O157:H7的微生物對數減少(MLR)。(A)使用oCelloScope測量處理后存活的大腸桿菌O157:H7的生長。大腸桿菌O157:H7未經處理(無輻照或姜黃素,●)、無姜黃素輻照(■)、1μM姜黃素無輻照(△)和在1μM姜黃素存在下輻照(○)。(B)使用或不使用姜黃素(1μM)照射后,使用BCA算法(灰色條)與傳統MLR量化測定(白色條)比較微生物對數減少(MLR)。相對于未處理的陰性對照計算對數減少。使用雙向方差分析進行統計分析
總結
食品加工行業中食品接觸表面的微生物污染是一個重大的健康危害。評估食品加工過程中使用的消毒劑的功效對于確保公眾健康和安全至關重要。本研究描述了一種使用oCelloScope量化抗菌處理后存活細菌細胞數量的光學篩選方法,以微生物對數減少(MLR)表示。研究人員測試了兩種消毒劑次氯酸鈉和苯扎氯銨對三種病原體(腸炎沙門氏菌、大腸桿菌O157:H7和單核細胞增生李斯特氏菌)的干燥細菌的功效食品加工表面上令人擔憂的問題。不銹鋼載玻片用于模擬商業食品加工表面。在對不銹鋼表面進行抗菌處理之前,將細菌細胞在75%的相對濕度(RH)下干燥,并通過平板計數分析存活水平以計算MLR。這些與使用oCelloScope生成的MLR值進行了比較,使用oCelloScope分析MLR,將細胞在75%RH的聚苯乙烯微量滴定板上干燥,用抗菌劑處理,并分析存活的細胞數量。結果表明,使用oCelloScope的BCA算法計算的處理過的干燥細胞的MLR值與使用傳統平板計數測定法生成的值相當,抗菌劑針對所有測試病原體的濃度和處理時間相同,這說明該方法可用于快速篩選溶解性抗菌化合物的MLR。oCelloScope可用作量化抗菌劑功效的快速篩選方法。由于平板計數測定通常需要數天時間來量化抗菌化合物對病原體的影響,因此oCelloScope有可能節省寶貴的時間和精力。此外,使用oCelloScope進行分析所需的一次性用品明顯少于用于標準平板計數的一次性用品。這有助于降低實驗室成本和產生的廢物量,使其更加環保。
相關新聞推薦
1、香芹酚對惡臭假單胞菌生長、運動能力、產胞外蛋白酶和生物被膜能力影響(一)
2、不同種類、濃度可同化氮藍莓果酒中酵母菌計數、生長速率(三)
3、兒童侵襲性非傷寒沙門菌腸炎NTS的藥敏試驗結果——摘要、資料與方法
