低水分活度、低pH值環境、檸檬酸對芽孢桿菌生長抑制作用
芽孢桿菌是一種常見的導致食源性疾病的菌種,當生存條件惡劣時,它們能以孢子的形態繼續存活,因而一般的食品清潔加工手段很難將其完全清除,尤其是蠟樣芽孢桿菌(Bacilluscereus)。
芽孢桿菌能夠在食物中產生嘔吐毒素(Cereulide),該毒素非常穩定,對于酸、堿(pH值2~11穩定)和熱(121℃,30 min穩定)都具有極高的耐受性。當人體感染了大量的芽孢桿菌時,它們會在小腸內產生腸毒素從而導致人體發生嘔吐和腹瀉的癥狀。調查發現,引起食物中毒的事件中,芽孢桿菌的數量均達到了106~109CFU·mL-1,因此,控制芽孢桿菌的生長繁殖是避免食物中毒的關鍵。
雖然已經有不少文獻就芽孢桿菌的特性及其生存條件作出了指導性的界定,但均集中在對蠟樣芽孢桿菌特性的了解、分析和應用上,很少涉及其它芽孢桿菌的菌種。而真正應用于食品安全分析的菌種卻是毒性相對較小的菌種,如枯草芽孢桿菌(Bacillussubtilis)、巨大芽孢桿菌(Bacillusmegaterium)和短小芽孢桿菌(Bacilluspumilis)等。因此,作者選取了14株常見芽孢桿菌,在此對其生存條件進行具體分析,擬為進一步的應用實驗提供指導。
1實驗
1.1菌株
14株芽孢桿菌:2株Bacilluscirculans(BC1,BC2),2株Bacillusmegaterium(BM1,BM2),2株Bacillussubtilis(BS1,BS2),1株Bacilluscereus(BAC01),3株Bacilluspumilis(BPU1,BPU2,BPU3),1株Brevibacillusbrevis(BBB1),1株Bacilluscoagulans(BCO1),1株Bacilluslichenformis(BLI1)和1株Bacilluspolymyxa(BPO1)。BC1、BM1和BPU1購于中國工業微生物菌種保藏管理中心,其余均由Juan L.Silva(Mississippi State University,MS,USA)博士提供。
1.2細菌細胞的處理
所有的菌株都在腦心浸出液肉湯(BHI Broth,Difco)中于30℃、有氧條件下復活復壯。實驗前均須經過24 h的培養,然后在離心機(Sorvall®Biofuge Fresco)1000×g轉速(4℃,2 min)下用0.85%的鹽水清洗2次。分別在培養0 d、第1 d、第3 d、第7 d和第14 d取樣,使用Tryptic Soy Agar(TSA,Becton Dickinson)平板記錄芽孢桿菌的活菌數(CFU·mL-1)。
1.3低水分活度環境對芽孢桿菌抑制作用的研究
將14株芽孢桿菌用0.85%鹽水離心(1000×g,4℃,2 min)清洗2次,然后各取10μL分別接入5種不同水分活度(AW,0.86、0.87、0.89、0.92、0.94;由固體氯化鈉和甘油調節AW)的10 mL BHI培養基中,在0 d、第1 d、第3 d、第7 d和第14 d取樣觀察芽孢桿菌的生長情況。
1.4低pH值環境對“酸適應”芽孢桿菌抑制作用的研究
將14株芽孢桿菌接入10 mL BHI培養基(由1 mol·L-1鹽酸調pH值至5.0)中,在30℃、有氧環境下培養24 h,即得“酸適應”芽孢桿菌。將“酸適應”芽孢桿菌用0.85%鹽水離心(1000×g,4℃,2 min)清洗2次,然后各取10μL分別接入5種不同pH值(3.4、3.8、4.0、4.4、4.6;由1 mol·L-1鹽酸調pH值)的10 mL BHI培養基中,在0 d、第1 d、第3 d、第7 d和第14 d取樣觀察芽孢桿菌的生長情況。
1.5檸檬酸對“適應”芽孢桿菌抑制作用的研究
將14株芽孢桿菌接入10 mL BHI培養基(由1 mol·L-1檸檬酸調pH值至5.0)中,在30℃、有氧環境下培養24 h,即得“適應”芽孢桿菌。將“適應”芽孢桿菌用0.85%鹽水離心(1000×g,4℃,2 min)清洗2次,然后各取10μL分別接入5種不同pH值(3.4、3.8、4.0、4.4、4.6;由1 mol·L-1檸檬酸調pH值)的10 mL BHI培養基中,在0 d、第1 d、第3 d、第7 d和第14 d取樣觀察芽孢桿菌的生長情況。
2結果與討論
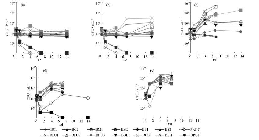
2.1低水分活度環境對芽孢桿菌的抑制作用(圖1)
a~e,AW:0.86,0.87,0.89,0.92,0.94
由圖1可看出,芽孢桿菌對于低水分活度環境的耐受性有限:AW在0.86時,所有的菌株都沒有生長,BC2和BM2不能存活;AW在0.87時,BLI1、BC1和BPU1可以生長,BC2、BM2和BAC01不能存活;AW在0.89時,除了BPO1保持菌落數不變,BC2、BM2和BAC01的菌落數下降,其余菌株都能有不同速率的生長;AW在0.92時,除了BM2保持菌落數不變,BC2和BAC01的菌落數下降,其余菌株都能生長;AW在0.94時,所有菌株都能生長。
2.2低pH值環境對“酸適應”芽孢桿菌的抑制作用(圖2)
由圖2可看出,芽孢桿菌對于低pH值環境的耐受性有限:pH值<4.0時,所有的菌株都沒有生長,BC2、BAC01和BBB1不能存活;pH值為4.4時,BS1、BBB1和BCO1可以生長,BC2和BAC01不能存活;pH值為4.6時,BS1、BS2、BBB1、BCO1、BC1、BM1、BPU1和BPO1可以生長,BC2和BAC01不能存活。
a~e,pH值:3.4,3.8,4.0,4.4,4.6
2.3檸檬酸對“適應”芽孢桿菌的抑制作用(圖3)
由圖3可看出,使用檸檬酸來調節pH值,加強了對芽孢桿菌的抑制效果,對Bacillusmegaterium的抑制效果尤其明顯:pH值<4.4時,所有的菌株都沒有生長,BM1、BM2和BBB1不能存活;pH值為4.6時,BS2可以生長,BM1和BM2不能存活。
a~e,pH值:3.4,3.8,4.0,4.4,4.6
3結論
將14株芽孢桿菌在不同水分活度和pH值條件下培養,結果發現,14株芽孢桿菌對低水分活度(<0.86)和低pH值(<4.4)的耐受性均有限,耐受性強弱(依次為):
(1)對于水分活度(AW):BLI1>BC1>BPU1>BM1>BS1,BS2,BPU2,BPU3,BBB1>BCO1>BPO1>BM2>BC2,BAC01。
(2)對于pH值:BS1,BCO1>BBB1>BS2,BC1,BM1,BPU1,BPO1>BM2,BPU2,BPU3,BLI1>BAC01,BC2。
(3)對于檸檬酸:BS2>BC1,BC2,BS1,BAC2,BPU1,BPU2,BPU3,BPO1,BCO1>BLI1>BBB1>BM1,BM2。
