雞印第安納株沙門菌生長、致病性及藥物敏感性研究(三)
2.2細菌生長曲線測定
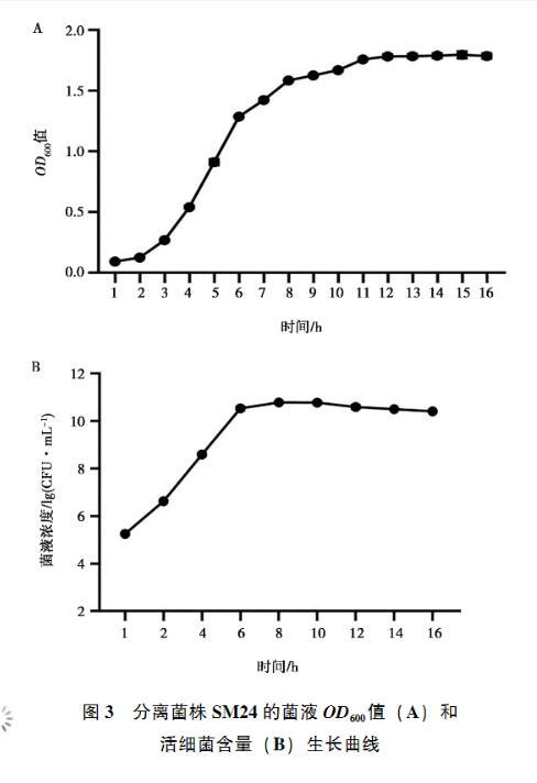
分離株在LB培養基中的生長曲線如圖3所示,SM24在培養2 h后即進入對數生長期,在3~6 h細菌增殖速度最快,從8 h開始生長逐漸減緩,進入穩定期;培養12 h后菌液OD600值不再增加,活細菌含量緩慢下降,細菌生長進入衰退期。說明分離菌株SM24在LB培養基中生長良好,具有典型的細菌生長曲線。
圖3分離菌株SM24的菌液OD600值(A)和活細菌含量(B)生長曲線
2.3毒力測定
SM24分離株不同劑量對3日齡SPF雛雞進行攻毒,1.5×107 CFU攻毒組雛雞在5 d內全部死亡,1.5×106 CFU組死亡5只,1.5×105 CFU組死亡2只,其他接種組無死亡,對照組雛雞狀態良好。表明分離株對雛雞具有致病性,經Probit回歸計算SM24的LD50為8.50×105 CFU。
2.4耐藥性檢測
分離株SM24的藥物敏感性測定結果如表2所示,SM24對大觀霉素、阿米卡星、氯霉素、氟苯尼考、亞胺培南和多黏菌素B這6種抗生素敏感;對呋喃唑酮中介;對青霉素類(氨芐西林、阿莫西林)、頭孢菌素類(頭孢氨芐、頭孢噻肟、頭孢曲松)、喹諾酮類(恩諾沙星、環丙沙星、左氧氟沙星)、四環素類(多西環素、四環素)、磺胺類(復方新諾明、甲氧芐啶)以及新霉素、慶大霉素、阿奇霉素和氨曲南這16種抗生素表現耐藥。以上結果說明分離株SM24屬于多重耐藥性菌株,抗生素耐藥譜極廣。
表2分離菌株藥物敏感性檢測結果
2.5全基因組測序
對分離株SM24進行全基因組測序(見圖4、5),獲得其全基因組大小為4 865 511 bp,GC含量為51.96%。基因組包含1個完整的細菌染色體序列和1個完整的質粒序列,其中染色體序列大小為4 700 467 bp,質粒大小為165 044 bp,質粒命名為pASM-1。質粒類型分析顯示,pASM-1為IncHI2質粒,包含IncHI2和IncHI2A兩個復制子。基因組序列共有4 635個編碼蛋白的基因,含有108個非編碼RNA序列,包括86個tRNA、8個5S rRNA、7個16S rRNA和7個23S rRNA,并且存在2個CRISPR元件(CRISPR1和CRISPR2)和10個前噬菌體序列。
2.6全基因組序列分析
2.6.1血清型比對與數據庫注釋
全基因組測序數據通過SeqSero 1.2數據庫比對,顯示分離株SM24的O抗原為O4,H1抗原為z,H2抗原為1,7,血清型確定為印第安納沙門菌。對基因組序列進行數據庫比對注釋結果見表3,其中NR注釋的序列為4 460條、GO注釋的序列為2 762條、eggNOG注釋3 809條、KEGG注釋3 208條、Swiss注釋3 809條、CARD注釋144條、VFDB注釋280條。
圖4分離菌株SM24的基因組圈圖
圖5 pASM-1質粒結構圈圖
表3基因功能注釋統計條
2.6.2整合接合元件(ICE)預測
通過ICEfinder預測,在分離株基因組中存在一個ICE,位置在染色體2 684 249~2 727 127,大小為42 879 bp,預測為整合移動元件(IME),包含aatL和attR兩個整合位點。
2.6.3 GO數據庫注釋
SM24分離株基因組的GO注釋顯示,共有2 762個基因序列獲得注釋,占總編碼蛋白序列的59.59%。GO注釋的基因包含三大分類和38個二級分類(圖6),其中大類包括生物過程(biologicalprocess)、細胞組分(cellular component)和分子功能(molecular function),二級分類包括代謝過程(metabolic process)、生物黏附(biological adhesion)、胞內成分(intracelluar)、蛋白復合物(protien-con?taining complex)、催化活性(catalytic activity)、轉運活性(transporter activity)等生命過程。
圖6 SM24基因組序列GO功能分類圖
2.6.4毒力基因分析
通過VFDB數據庫比對分析,發現菌株SM24共注釋到280個毒力基因,編碼的產物主要參與分泌系統、菌毛黏附、鐵攝取、免疫逃避等(圖7)。其中與細菌分泌系統相關的注釋基因共79條,占28.21%,主要包括毒力島1(SPI1)和毒力島2(SPI2)基因編碼的Ⅲ型分泌系統(T3SS)以及由Hcp分泌島1(HSI-I)和沙門菌中心島(SCI)基因編碼的Ⅵ型分泌系統(T6SS);與細菌黏附有關的菌毛黏附決定因素和運動性侵襲黏附相關毒力基因分別注釋61條和46條,共占38.21%;鐵攝取相關毒力基因注釋了22條,其中包含典型的沙門菌素合成與轉運基因(iroBCDEN)、腸桿菌素的合成(entABC?DEF)和轉運(fepBCDG)相關毒力基因;編碼脂多糖(lpxAC、gtrAB等)和莢膜等與免疫逃避的毒力基因有17條。除此之外,還有與細菌入侵(invAC、orgAB等)、黏附(fimACDFH)、營養因子(allAB?CDRS)等多種毒力相關基因。
圖7 SM24分離株毒力基因統計
2.6.5耐藥基因分析
通過CARD數據庫比對,SM24株基因組序列中共辨別出144條耐藥基因,其中133條位于細菌染色體上,11條位于pASM-1質粒上。所有耐藥基因中,與多重耐藥相關的基因為93條,占64.58%。對耐藥機制分類發現,與抗生素外排泵相關基因有62條,與抗生素靶點改變的基因有53條,除此之外還有與抗生素失活(14條)、抗生素滲透性降低(9條)、抗生素靶點保護和替代(各2條)等相關的耐藥基因(圖8)。IME和質粒等均屬于細菌基因組可移動元件,常攜帶耐藥基因,導致耐藥性的快速傳遞。對SM24染色體上IME位點和pASM-1質粒上攜帶的耐藥基因統計結果見表4。
染色體IME位點存在一個OmpK37耐藥基因,其與耐頭孢菌素類抗生素等多重耐藥性有關;pASM-1質粒結構上攜帶與耐受四環素類(tetA、tetR)、磺胺類(sul1)、利福平類(arr-3)、氯霉素類(catB3)、頭孢菌素類(OXA-1)、喹諾酮類(aac(6′)-Ib-cr)、氨基糖苷類(aac(3′)-Iid、aph(3)-Ia)、大環內酯類(mphA)和磷霉素類(FosA3)藥物相關的基因。
圖8 SM24分離株不同耐藥機制耐藥基因統計
表4 SM24染色體IME和pASM-1質粒攜帶的耐藥基因
2.7比較基因組分析
菌株SM24和國內分離的6株雞源印第安納沙門菌參考基因組的共有和特有基因分析結果見圖9A,7個菌株共有基因有3 856條,分離株SM24的特有基因最多為365條,廣州分離株FJC33(CP041699.1)的特有基因有68條,江蘇分離株YZ21MCS4(CP089313.1)和XZ14C1328(CP102827.1)分別擁有32和18條特有基因,四川分離株JT01(CP028131.1)和北京分離株D90(CP022450.1)均有1條特有基因,上海分離株SJTUF13520v2(CP041181.1)未見特有基因。菌株進化樹構建結果顯示(圖9B),SM24菌株與國內其他地區分離的雞源印第安納沙門菌分離株不在同一進化分支,說明其與國內分離的6個參考菌株的遺傳進化距離較遠。注:?本研究分離菌株。
圖9分離株SM24與參考菌株的共有和特有基因分析(A)和基因組進化樹構建(B)
