市售冷凍蝦尾的菌落總數測定及數學模型構建
近年來,人民對微生物污染食品,尤其是冷凍食品特別關注。而菌落總數的多少一貫是人們用來判定食品被細菌污染的程度,它能反應出食品在生產、流通,儲存過程中受污染的程度。菌落總數的多少在一定程度上標志著食品質量的好壞。冷凍蝦尾做為一種較易儲存的水產品近年來尤其受到人民群眾的歡迎,但做為一種冷凍水制品,從最初的生產加工到最后供應到人們的餐桌,其流程長,且對溫度要求高,因此,更容易受到微生物的污染。
在日常的微生物檢驗中,因為樣品受污染的部位和程度不同,受制于取樣等環節的影響,所做的結果常差別較大,因此,檢驗結果的準確與否甚至會影響企業的效益甚至生存,尤其是微生物測定不合格,企業不能提出復檢。本文通過對10份市售冷凍蝦尾的菌落總數進行測定,根據GB/T 27418-2017《測量不確定度評定和表示》的規定,來對結果中不確定度的來源進行分析,并為此建立合適的數學模型進行分析,來評定冷凍蝦尾中菌落總數的不確定度。
1實驗材料、儀器和方法
1.1實驗材料樣品:隨機購買10個超市內的冷凍蝦尾各一份,500g/份,用無菌袋包裝,立即放入-18℃的冰箱內保存。
耗材:一次性無菌培養皿(江蘇華夏瑞泰塑業有限公司),平板計數瓊脂(北京陸橋計數股份有限公司)。
1.2儀器壓力蒸汽滅菌器(BKQ-B50Ⅱ)(山東博科生物產業有限公司生產);電熱鼓風干燥箱(DHG-9075AE)(無錫瑪瑞科科技有限公司生產);微生物恒溫培養箱(BJPX-Z1)(山東博科生物產業有限公司生產);蘇凈安泰生物安全柜(BSC-1804ⅡB2)(江蘇蘇凈集團有限公司生產)。
1.3方法按照GB4789.2-2016中規定的方法進行實驗,具體步驟如下:①在無菌的條件下,稱取樣品25.0g,加入到含有225ml 0.9%的無菌生理鹽水的勻漿器,均質,搖勻。②取新的無菌吸管做系列10倍濃度稀釋。③取1∶10,1∶100,1∶1000,1∶10000四個濃度梯度的樣品稀釋液,在每個樣品稀釋液中取1ml2次,分別加入到無菌培養皿中,另取1ml無菌生理鹽水加入另一無菌培養皿中,作為空白對照。④將冷卻至46℃左右的瓊脂培養基分別倒入無菌培養皿中約15ml~20ml,混勻,待瓊脂凝固后倒置。⑤將所有的培養皿放置于(36±1)℃的恒溫培養箱中,培養(48±2)h。⑥選擇無菌培養皿中菌落數在30~300的培養皿,計數后乘以稀釋倍數,得到最終的計數結果。
2結果
2.1不確定度評價對10個冷凍蝦尾樣品的菌落總數的測定結果進行統計,具體數值見表1。
表1冷凍蝦尾中菌落總數的檢測結果及相關計算
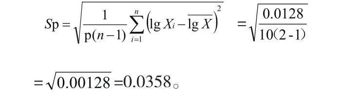
從附表中的具體數據可以看出,該10份樣品中所測得菌落總數差異較大,因此,必須對檢測結果所得數值取對數后,再進行檢測結果對數值的標準偏差計算。按照統計學中A類評定,根據貝塞爾公式,計算最后結果:
在日常菌落總數的測定中,按照GB4789.2-2016的規定,每個稀釋濃度均會做2個平行樣,因此,在標準不確定度公式中,n=2,代入計算可得:。
在置信水平P=95%,V=10,通過查閱t分布表可得t95(10)=2.228。
根據擴展不確定度的公式U=KUC,代入計算可得,U=2.228×0.0253=0.0564。
2.2實驗結果報告根據2.1中計算的結果,筆者以1號樣品為例,其,其取值區間應為(5.8026±0.0564),計算可得5.7462~5.8590,取反對數后的區間為(557442~722770)CFU/g,因此,最后的檢測結果可估算為(5.6~7.2)×105CFU/g,其他樣品的取值范圍也可以依此類推。
3討論
在食品微生物檢驗中,不確定度來源很多,比如樣品被污染程度是否均一,取樣是否均一,每一步稀釋的體積誤差有多大,培養箱內部的溫度差異有多大,培養的時間允差,最后計數的平行性等因素都是不確定度的來源。根據文獻可知,B類不確定度對食品微生物檢驗中的不確定度影響較小[1]。影響食品微生物檢驗的不確定主要因素還是人員的重復性,因此,采用統計學A類不確定度計算方法貝塞爾公式來計算標準偏差。根據貝塞爾公式的相關要求,一般要求對單一樣品測定10次以上,但是在日常實際工作中,幾乎沒有實驗室會這樣做[2]。因為在菌落總數的測定中,樣品檢驗都為破壞性檢驗,樣品檢驗一次后不能再重復檢驗,因此,對同一樣品做重復10次以上得到的結果意義不大。因此,本文通過對10批次冷凍蝦尾中的菌落總數進行測定,取對數后進行相關計算。
為了方便建立數學模型,要求所得到的實驗數據盡量符合正態分布,而從培養皿中直接計數后乘以稀釋濃度所得到的菌落總數為偏態分布[3]。因此,筆者對這些結果取對數后進行分析。通過實驗發現,要想使最后的結果比較完美,就應該嚴格控制實驗的每一個步驟,力求重復性一致。這就要求試驗人員要盡量避免實驗中的不確定度,并且盡可能的一個人完成所有操作,實驗中所使用的實驗容器和相關儀器一定要經過相關部門的檢定并嚴格按照其操作規范的要求進行操作和使用。以最大限度地減少測定中的不確定度,保證結果的準確可靠。
對于一些檢驗結果在標準規定附近的結果,要根據CNAS-CL08《評價和報告測試結果與規定限量的符合性的要求》中的相關規定進行判定。例如,當檢驗的結果低于(高于)標準規定的值小于所測得的不確定度時,在95%的置信水平下,就不能做出不符合規定的處理[4]。
通過測定冷凍蝦尾中菌落總數的不確定度評價,可以更清楚地反應冷凍蝦尾的受污染情況,減少了實驗數據和真實值之間的誤差,更好地為人民群眾的飲食安全保駕護航。
相關新聞推薦
1、羊奶或山羊奶中的乳清之開菲爾谷物的化合物代謝活動與生長變化
2、O 型口蹄疫病毒 3D 突變體重組 FMDV 的鑒定及生長曲線的測定(一)
3、巨大芽孢桿菌BM24生長曲線、耐藥性、益生潛力評估及藥敏試驗(一)
