李斯特菌ST87在25°C不同營養條件下牛肉和蔬菜汁中的生長曲線
病原生物的生物膜發育在某些食源性疾病中起著關鍵作用。單核細胞增生李斯特菌,特別是序列87型(ST87),在中國已被廣泛發現。本研究旨在監測食物分離的單核細胞增生李斯特菌株ST87在不同營養條件下生物膜形成的動態過程。結果表明,該菌株在營養豐富和營養有限的條件下都能始終表現出較高的活細胞計數。通過細胞計數,我們發現單核細胞增生李斯特菌ST87能夠在各種營養環境中形成生物膜,包括牛肉汁和蔬菜汁,將水平維持在2 Log10 CFU/cm以上2.值得注意的是,在營養有限的條件下,生物膜的形成速度加快,營養有限的蔬菜汁下的細胞計數明顯高于營養豐富的蔬菜汁下的細胞計數。對細胞外聚合物物質(EPS)組成的分析顯示,生物膜內的活細胞計數和細胞外蛋白變異之間存在一致的模式。此外,對培養基中營養成分(蛋白質、脂肪、總糖、灰分和pH值)的評估揭示了細胞外物質與pH值之間的正相關,但與其他營養成分之間存在負相關。
將制備的兩種單核細胞增生李斯特菌株的生物量分別加入到各培養基(TSB-YE、DTSB-YE、BBB、DBBB、VBB和DVBB)中,比例為1:10,使單核細胞增生李斯特菌密度約為103CFU/毫升。將每組接種的培養液的體積為200μL,一式三份分配到100孔蜂窩®微孔板的孔中。使用Bioscreen C(Oy Growth Curves Ab Ltd.,Helsinki,Finland)在25°C下以中等強度連續振蕩72小時,并在600nm波長(OD 600)OD下測量光密度600每2小時測量一次。將每種無菌培養物作為對照納入并用于校正OD600值。該實驗是用兩個獨立的生物學重復進行的,每個重復在三個技術上平行。
本研究旨在評估單核細胞增生李斯特菌株在各種營養條件下牛肉和蔬菜汁中的生物膜形成潛力。主要目的是:(1)探索不同濃度下單核細胞增生李斯特菌ST87生物膜在殘留食品(牛肉汁和蔬菜汁)中的粘附和動態發育,以及(2)進行定量分析并關聯該菌株在不同營養條件下產生的EPS。
圖1.單核細胞增生李斯特菌ST87和ATCC 19112在不同溫度下TSB-YE(a,b)和DTSB-YE(c,d)形成的生物膜中的活力
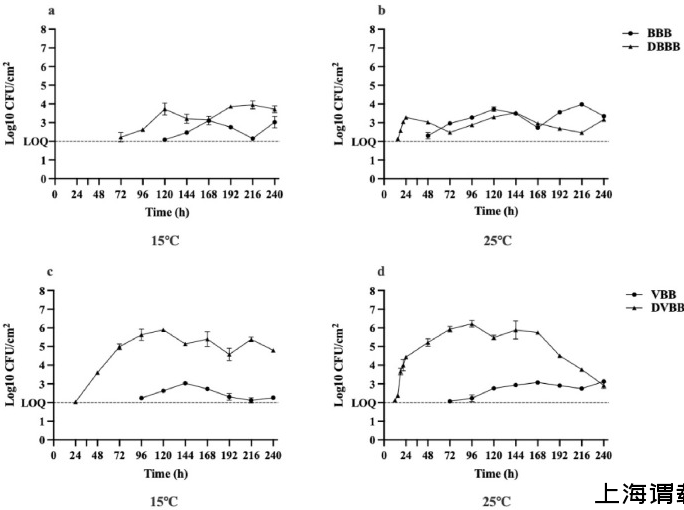
圖2.單核細胞增生李斯特菌ST87菌株在不同溫度下在牛肉(a,b)和蔬菜汁(c,d)中形成的生物膜中的活力。
圖3.單核細胞增生李斯特菌ST87在25°C不同營養條件下的生長曲線。
圖4.測定在25°C下在不同營養條件下形成的生物膜中ST87細胞外物質含量。注:a、d、g代表細胞外蛋白含量測定,b、e、h代表細胞外多糖含量測定,c、f、i代表細胞外DNA含量測定,a-c代表不同濃度TSB-YE下形成的生物膜,d-f代表不同濃度牛湯下形成的生物膜,g-i代表不同濃度蔬菜汁下形成的生物膜。
圖5.25°C時ST87生物膜中活細胞計數和細胞外蛋白含量的趨勢。
圖6.25°C下ST87生物膜中的細胞外物質與生長培養基中的營養成分之間的Spearman相關系數熱圖,以及培養時間。
結論:本研究表明,分離出的單核細胞增生李斯特菌ST87菌株具有較強的生物膜形成能力,使得該菌株在食物殘渣提供的營養豐富和營養有限的環境中容易形成生物膜,從而對人類健康和安全構成風險。稀釋培養基中營養物質減少的存在可能會對單核細胞增生李斯特菌造成壓力,導致生物膜形成加速和EPS豐度增加。此外,生物膜細胞外成分與培養基營養成分以及孵育時間之間的Spearman相關性分析為識別促進生物膜生長和減少生物膜形成的特定因素提供了新的見解。
相關新聞推薦
2、滇黃精水提物促進羅伊氏乳桿菌生長增殖和定植的作用機制(五)
