醇類、小分子有機酸和糖類等不同碳源對微生物硫酸鹽還原菌的影響
硫酸鹽含量過高會對環境和人類健康構成威脅。為了解決硫酸鹽污染問題并為硫酸鹽去除和硫磺回收提供依據,本研究旨在探索硫酸鹽還原菌(SRB)容易利用的有機物。為了研究SRB對不同有機質的利用特性,本研究調查了不同碳源(包括醇類、小分子有機酸和糖類)和不同碳硫(C/S)下的微生物硫酸鹽還原。不同碳源轉化途徑的差異是影響硫酸鹽還原過程的主要因素。研究發現不完全氧化的SRB能快速將糖類和醇類不完全氧化成乙酸,并降低溶液pH,從而抑制SRB的活性。相反,使用小分子有機酸作為碳源時能維持較為穩定的pH,并檢測到更多的硫化物。在所有測試的碳源中,使用丙酸鹽、乳酸、乙醇和甲酸鹽作為碳源時,觀察到更快的硫酸鹽還原,最佳C/S是化學計量比的三倍。碳源的類型也通過影響微生物群落結構來影響硫酸鹽還原。乙醇和丙酸鹽的存在有利于不完全氧化SRB(Desulfomicrobiaceae和Desulfovibrionaceae)的增殖,而完全氧化的SRB(Desulfuromonadaceae和Desulfococccaceae)在含甲酸鹽的底物中占主導地位。不完全氧化菌通常生長較快,往往具有較高的電子傳輸系統活性,但碳源利用效率較低。
研究概述
在19種測試的有機物中,丙酸鹽作為碳源時硫酸鹽還原效率最高(76.6%),其次是乳酸(67.3%)、乙醇(67.1%)、甲酸鹽(46.3%)和D-山梨糖醇(45.8%),而其他則低于40%(圖1a)。硫酸鹽還原產物主要為硫化物,僅檢測到少量硫代硫酸鹽。SRB活動可能與碳源的化學分類有關。總體而言,當使用小分子糖作為碳源時,硫酸鹽去除效率非常低,約為25%(p=0.84)。結果表明,碳源代謝對pH的影響可能是不同碳源影響SRB活性的重要原因。從PCA圖中得知,當用作碳源時,醇類和糖類表現出某些相似性。在這里,pH總是與硫化物呈正相關,與ORP呈負相關。綜上所述,不同碳源對微生物硫酸鹽還原的影響可分為兩個方面。一方面,SRB對不同的碳源有不同的親和力。另一方面,SRB的碳源代謝過程可能通過影響溶液的pH和ORP對SRB活性產生反饋。
圖1不同碳源條件下反應前后各項指標的變化。A、硫化合物的轉化效率。b、反應前后的pH值。C、反應結束時的ORP值。d、PCA雙序列圖。
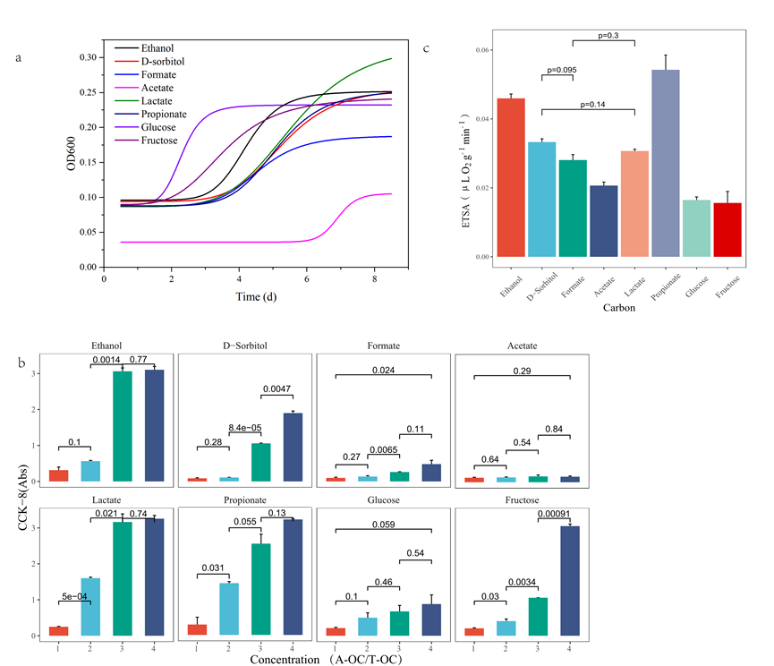
微生物增殖速度最快的是在含乳酸鹽的環境中,其次是丙酸鹽和乙醇,甲酸鹽、乙酸鹽、葡萄糖和果糖中增殖速率較低(圖2a)。這表明SRB可以利用碳水化合物,但溶液的快速酸化會抑制反應的進行。當以乙醇、D-山梨糖醇、乳酸鹽和丙酸鹽為碳源時,隨著碳源濃度的增加,微生物生物量顯著增加(圖2b)。在此條件下,碳源濃度是制約微生物生長的主要因素。甲酸鹽和乙酸鹽濃度的變化對生物量增長的影響有限。此外,與使用丙酸鹽生長的SRB相比,基于碳水化合物的SRB具有較低的生物量。微生物活性在丙酸鹽下最高(圖2c)。因此,較高的能量代謝活動與使用丙酸鹽和較大生物質的快速硫酸鹽還原有關。此外,碳水化合物環境中最低的ETSA,進一步證明環境變化會嚴重抑制微生物活性
圖2微生物活性的變化。a,OD600表示的微生物生長曲線(A-OC/T-OC=3)。b,CCK-8在不同碳源類型和濃度下檢測到的微生物數量。c,不同碳源條件下的ETSA(A-OC/T-OC=3)。
在理論碳源濃度下,硫酸鹽還原反應基本不會發生。隨著碳源濃度的增加,硫酸鹽去除效率迅速增加。當以乙醇和丙酸鹽為碳源時,僅當碳源量為理論值的3倍時,硫酸鹽還原效率才達到85%以上。然而,當使用甲酸鹽時,碳源的量只需為理論值的兩倍。在乙醇和丙酸鹽理論濃度的兩倍下,硫酸鹽還原率分別為39.1%和56.9%。這是因為當乙醇和丙酸鹽被用作碳源時,它們部分轉化為乙酸鹽,而乙酸鹽沒有被SRB作為電子供體充分利用,而甲酸鹽被充分利用乙酸鹽積累表明,盡管CO-SRB和IO-SRB共存,但IO-SRB顯然更容易生長和增殖。
圖3三種碳源、四種濃度下SRB硫酸鹽還原過程中各指標的變化。a,硫酸鹽濃度的變化。b,硫化物濃度的變化。c,一級動力學反應速率常數。
以乙醇為碳源,幾乎不產生CO2(圖4)。相反,當使用丙酸鹽作為碳源時,隨著碳源濃度的增加,乙酸鹽和CO2的產量逐漸增加。這表明當碳源充足時SRB在微生物群落中占主導地位,反應接近理想的微生物硫酸鹽還原。在這項研究中,乙醇被充分利用后僅檢測到少量CO2,這可能是由于pH值降低,影響了溶液中CO2的存在形式。IO-SRB將乙醇不完全氧化為乙酸,導致水體酸化,而CO-SRB將甲酸鹽完全氧化為CO2,導致pH升高。IO-SRB以介于乙醇和甲酸鹽之間的方式利用丙酸鹽,從而使溶液的pH保持穩定。
圖4不同碳源、不同碳源濃度條件下的碳源轉化(1、2、3、4對應A-OC/TO-OC比值)。
各指標計算的生物多樣性在不同有機質類型下表現出顯著差異(p<0.05)。這表明碳源類型是控制微生物群落結構的主要因素,而碳源濃度是次要因素。來自丙酸鹽和乙醇處理的群落分別具有最低和最高的豐度,表明它們分別對微生物類群具有更多和更少的選擇性(圖5a)。直接使用社區中擴增子序列變體的數量繪制的維恩圖展示了與alpha多樣性指標相似的結果(圖5b)。基于Bray-Curtis距離矩陣的PCoA顯示樣品根據不同的碳源分布在三個不同的區域(圖5c)。同樣,這表明碳源類型是影響微生物硫酸鹽還原環境中微生物群落結構的主要因素。
圖5微生物多樣性分析。a,微生物多樣性指數。b,維恩圖。c、PCoA分析圖(A、B、C分別代表乙醇、丙酸、甲酸)
A組(以乙醇為碳源)和B(以丙酸為碳源)組中的優勢細菌家族分別是Desulfomicrobiaceae和Desulfovibrionaceae。Desulfomicrobiaceae和Desulfovibrionaceae科的大多數成員都是IO-SRB。隨著碳源濃度的增加,這些科的豐度呈上升趨勢。在A組中,Desulfomicrobiaceae的豐度從5.4%增加到32.8%,而在B組中,Desulfovibrionaceae的豐度從0.0%增加到23.4%。然而,在以甲酸鹽為碳源的C組(以甲酸鹽為碳源)中,IO-SRB豐度極低。相反,CO-SRB的Desulfuromonadaceae(2.7%–3.3%)和Desulfococcaceae(1.2%–2.1%)具有相對較高的豐度。結果表明,IO-SRB在乙醇和丙酸鹽中占優勢,而CO-SRB在甲酸鹽中占優勢。并且,CO-SRB競爭力較差,不易占據優勢地位。
圖6c顯示SRB的豐度與乙醇和丙酸鹽濃度之間呈正相關,但與甲酸鹽濃度無關此外,當使用乙醇作為碳源時,多種非SRB與乙醇濃度呈正相關,表明多種微生物與SRB競爭,可能導致硫酸鹽還原效率較低。Desulfovibrionaceae(IO-SRB)與丙酸鹽呈現著正相關,而Desulfuromonadaceae(CO-SRB)與丙酸鹽呈現負相關。該結果表明丙酸鹽對IO-SRB具有良好的選擇性。
圖6微生物群落結構分析。a,科級物種組成條形圖。b,類水平微生物物種組成的弦圖。c,科級物種與碳源的相關熱圖(*相關,**顯著相關,***高度相關)。d,微生物繁殖網絡圖。(A、B、C分別代表乙醇、丙酸、甲酸;1、2、3代表濃度梯度)
結論
本研究調查了存在不同碳源(包括醇類、小分子有機酸和糖類)以及不同C/S情況下微生物硫酸鹽的還原。不同碳源轉化途徑的差異是影響硫酸鹽還原過程的主要因素。IO-SRB的存在導致糖類和醇類的快速和不完全氧化產生乙酸,同時通過降低溶液pH抑制SRB的活性。而pH值穩定的小有機酸轉化產生更多的硫化物。在所有測試的碳源中,使用丙酸鹽、乳酸、乙醇和甲酸鹽實現了更快的硫酸鹽還原,最佳C/S是化學計量比的三倍。碳源類型還通過塑造微生物群落來影響硫酸鹽還原。乙醇和丙酸鹽有利于IO-SRB(Desulfomicrobiaceae和Desulfovibrionaceae)的增殖,而CO-SRB(Desulfuromonadaceae和Desulfococccaceae)在甲酸鹽中占主導地位。IO-SRB一般生長較快,能量代謝較高,但碳源利用效率較低。在不同的pH值下,硫化物從水中的去除方式不同。本研究為選擇微生物硫酸鹽還原的最佳碳源提供了依據,并為污水中硫酸鹽的去除和再利用提供了新的見解。
相關新聞推薦
1、Zn2+、Cd2+、Cry1Ac蛋白單獨及聯合暴露對大腸桿菌和枯草芽孢桿菌的毒性作用(三)
2、不同碳源、氮源和金屬離子對耐鋅菌株的生長特性的影響(二)
3、PlcR在炭疽芽胞桿菌A16R中對其生長狀態、溶血酶活性及神經磷脂酶活性影響(一)
