冷鮮豬肉中熱殺索絲菌生長動力學模型和貨架期預測模型構建——摘要、材料與方法
以市售托盤裝冷鮮豬肉為研究對象測定熱殺索絲菌的數量變化情況與感官、揮發性鹽基氮和菌落總數的變化,結果表明冷鮮豬肉的腐敗限控量為5.316 lg(CFU/g),熱殺索絲菌在不同溫度貨架期終點時菌落數均值為7.519 lg(CFU/g)。運用統計學軟件SAS9.1擬合熱殺索絲菌在不同溫度下的生長動力模型,表明Gompertz模型能很好擬合熱殺索絲菌在不同溫度下的生長;利用平方根模型描述溫度與最大比生長速率和延滯期的關系,得到熱殺索絲菌生長的二級模型,判定系數R2的值均在0.99以上,表明溫度與最大比生長速率和延滯期之間存在良好的線性關系;建立了0~15℃溫度區域內冷鮮豬肉儲藏過程中的貨架期預測模型,用3℃儲藏冷鮮肉中熱殺索絲菌生長的實測值與通過貨架期預測模型得到的預測值進行比較,相對誤差為1.6%,表明模型可以可靠預測0~15℃溫度區域內冷鮮豬肉的貨架期。
冷鮮肉又叫冷卻肉,是指整個加工、流通和銷售過程中始終保持0~4℃范圍內的生鮮肉。冷鮮肉生產過程中經歷了較為充分的成熟過程,質地柔軟有彈性,口感鮮嫩,將會是我國生鮮肉未來發展的方向之一。但是其營養豐富,水分活度高,極易受到微生物的污染。冷鮮肉受環境條件的影響在所含的微生物中只有部分微生物能快速生長、繁殖、產生有毒有害代謝產物,此即冷鮮肉的特定腐敗菌。特定腐敗菌主導了微生物的腐敗,所以其生長和貨架期之間存在密切關系。為了確保冷鮮肉質量的穩定與安全,對特定腐敗菌的監測和控制具有重要意義。
目前國內外建立的冷鮮豬肉中特定腐敗菌的生長動力學模型有假單胞菌、熱殺索絲菌和大腸桿菌。這些模型大都是使用液體培養基中獲得實驗數據建立或是外加菌種,由于沒有考慮到冷鮮肉組織的不同和微生物之間的相互作用,模型往往過高評價了真實冷鮮肉中微生物的生長速率,并且接種的大多是單一或簡單幾種菌株不能反應整體菌種的生長狀態,這樣在實際運用中會造成預測結果的偏差。直接從冷鮮肉中獲得實驗數據,可消除培養基和微生物相互作用帶來的誤差,能有效增加預測模型的準確度。
本實驗研究托盤裝冷鮮豬肉在0~15℃儲藏中特定腐敗菌之一的熱殺索絲菌的生長動態,在此基礎上建立其生長動力學數學模型和貨架期預測模型,并對模型進行驗證。
1材料與方法
1.1材料與試劑
冷鮮豬肉為超市售家佳康托盤裝里脊肉;鹽酸(分析純)開封東大化工有限公司試劑廠;氧化鎂(分析純)海城市金源礦業有限公司;氯化鈉(優級純)、硼酸(分析純)、無水碳酸鈉(分析純)、甲基紅(分析純)天津市科密歐化學試劑有限公司;亞甲基藍(分析純)天津石英鐘廠霸州市化工分廠;溴甲酚綠(分析純)天津市博迪化工有限公司;營養瓊脂北京雙旋微生物培養基制品廠;STAA瓊脂培養基青島高科技園海博生物技術有限公司。
1.2儀器與設備
電子天平;DHG-9123A電熱恒溫鼓風干燥箱、LRH-100C型低溫培養箱、DHP-9082型電熱恒溫培養箱;FSH-2A可調高速勻漿機;DNP-9082型電熱恒溫培養箱;LRH-150-S恒溫恒濕培養箱;SW-CJ-2FD型雙人單面凈化工作臺;手提式蒸汽不銹鋼消毒器(滅菌鍋)。
1.3微生物計數
無菌操作準確稱取0、4、7、10、15℃儲存的冷鮮豬肉25g,放入裝有225mL已滅菌生理鹽水的錐形瓶中,高速勻漿機1min。取1mL勻漿液進行10倍系列稀釋,選取3個合適的稀釋梯度,每個梯度做3個重復,傾注平皿。
菌落總數:營養瓊脂25℃培養48h。
熱殺索絲菌:STAA瓊脂培養基25℃培養48h。
1.4揮發性鹽基氮(TVB)的測定
準確稱取10g冷鮮豬肉,置于錐形瓶中,加100mL水,磁力攪拌30min后過濾,濾液按GB/T 5009.44—2003《肉與肉制品衛生標準的分析方法》進行半微量定氮法進行測定。每個樣品做3個平行,同時做空白。
1.5感官評價
由經過訓練的6人評定小組通過肉的色澤、味道與質地,評定肉的腐敗狀況。采用3分法,0分為最好品質,2分為可接受界限,當半數或以上評價員評價2分或以上時,即為感官拒絕點。
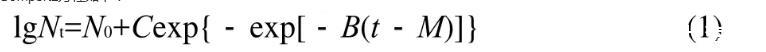
1.6一級模型擬合
應用SAS 9.1統計軟件,分別將在不同溫度下獲得的熱殺索絲菌的生長數據,用Gompertz模型擬合其生長動態。Gompertz方程如下:
式中:N0是初始菌數,lg(CFU/g);C是隨時間無限增加時菌增量的對數值,lg(CFU/g);B是在時間為M時的相對最大比生長速率/d-1;M是達到相對最大生長速率所需要的時間/d。得到上述參數后,通過以下公式求出U、LPD值。其中,最大比生長速率U=B×C/e,e=2.7182d-1;遲滯期LPD/d=M-(1/B)。
1.7二級模型擬合
平方根模型是常用來描述溫度對微生物生長的影響。
式中:T是培養溫度;TminU、TminL是最低生長溫度,為一假設概念,指的是微生物沒有代謝活動時的溫度,是通過外推回歸線與溫度軸相交而得到的溫度;b是系數。
1.8貨架期預測模型的建立和驗證
通過熱殺索絲菌初始菌數增加到腐敗限控量所需要的增殖時間來預測冷鮮肉的貨架期。
式中:Nmax是增加到穩定期時最大的微生物數量,Ns是達到腐敗限控量時的微生物數量。式(4)在式(1)的基礎上推導出來,以計算貨架期。
將3℃儲藏冷鮮豬肉實驗得到的貨架期與模型預測的貨架期進行比較,驗證貨架期預測模型的可靠性。
相關新聞推薦
1、木本植物根際微生物組裝的時空動態規律及其與宿主協同抗逆機制
2、不同包裝方式下清蒸大黃魚貯藏過程中PH值、菌落總數、菌群等的變化情況(二)
