黑曲霉分生孢子在不同成熟階段的復雜性和異質性研究
研究背景:黑曲霉是一種廣泛存在的真菌,具有很強的適應性和生存能力。它們的分生孢子是其無性繁殖的主要結構,這些孢子在空氣中非常豐富,對人類健康和生態系統都有重要影響。黑曲霉的分生孢子形成過程包括營養生長后,特殊的氣生菌絲分化為分生孢子載體,這些載體延伸到空氣中并形成孢子鏈。盡管黑曲霉的分生孢子在生態系統中具有重要作用,但其成熟過程中的特性變化尚不清楚。本研究探討了這些無性生殖結構上分生孢子的成熟過程。在分生孢子載體上發育了2天、5天和8天的色素化分生孢子對熱的耐受性相似,并且通過二氧化碳釋放和代謝探針Tempone的轉化顯示出代謝活性。當2天的分生孢子與5天和8天的孢子相比較時,有645-2421個基因的表達發生了2倍的變化。與較老的孢子相比,2天的分生孢子的細胞壁中更容易提取黑色素。此外,2天的分生孢子的甘露醇含量和萌發率更高。8天的分生孢子通過水分散的效率較低,但在風和疏水移動物體的分散方面沒有觀察到差異。這些數據以及在實驗中只有少數分生孢子被分散的事實表明,黑曲霉的一個菌落釋放出的分生孢子是異質性的。這種異質性在環境條件迅速變化的環境中(例如水的可用性)會提供選擇性優勢。
丹麥Biosense微生物生長動態監測系統的應用
將10?個分生孢子稀釋至5×10?個孢子/毫升的濃度,接種于含有25 mM麥芽糖的轉化培養基(TM)中。掃描區域長度設置為2205微米,掃描區域大小設置為70-700像素,最大物體數量設置為1000。從接種后2小時開始掃描,每小時掃描一次,直到微菌落開始覆蓋休眠或萌發的孢子。oCelloScope能夠實時監測黑曲霉分生孢子的萌發過程,包括孢子的膨脹、萌發和菌絲生長。通過分析孢子的表面積和圓度變化,oCelloScope可以將孢子精確分類為休眠孢子、腫脹孢子、萌發孢子和菌絲,從而提供詳細的萌發動態數據。提供了孢子萌發的動態圖像,還生成了詳細的數值數據,包括孢子的表面積、圓度等參數,為研究孢子萌發機制提供了豐富的信息。
實驗結論
通過一系列實驗,深入探討了黑曲霉(Aspergillus niger)分生孢子在分生孢子載體上的成熟過程,揭示了分生孢子在不同成熟階段的特性變化及其生態意義。通過比較2天、5天和8天的分生孢子,發現有645-2421個基因表達發生了2倍以上的改變。其中,許多上調基因的功能未知,而下調基因多與代謝和生物合成過程相關。所有測試的分生孢子都顯示出代謝活性,通過PDT的電子自旋共振(ESR)信號強度降低和CO2釋放來證實。2天的分生孢子更容易提取黑色素,而甘露醇含量和萌發率在2天的分生孢子中更高。8天的分生孢子通過水分散的效率較低,但在風和昆蟲傳播方面沒有觀察到差異。2天的分生孢子萌發速度更快,而5天和8天的分生孢子萌發速度較慢。熱處理(55°C,5分鐘)減緩了所有分生孢子的萌發速度,但沒有觀察到不同成熟階段的分生孢子在熱抗性上的差異。
圖1、黑曲霉2日齡、5日齡和8日齡分生孢子中海藻糖(淺灰色陰影)、甘露醇(深灰色陰影)和甘油(黑色陰影)的量(pg分生孢子)。誤差線表示技術和生物學重復的標準差
圖2、用鹽水吐溫(深灰色陰影)和NaOH(淺灰色陰影)提取的2日齡、5日齡和8日齡的黑曲霉分生孢子的黑色素量(A)以及2-(管2)、5-(管3)和8日齡(管4)分生孢子的色素沉著用水和NaOH提取后,未提取的2日齡分生孢子作為對照(管1)(B)。(C)顯示了管2和4提取的孢子顆粒的放大倍數。對比度和亮度也同樣增加。誤差線表示生物重復的標準差。
圖3、PDT的減少表明黑曲霉2、5和8日齡分生孢子的代謝活性。(A)在分生孢子存在下,t=0(上層)和t=30 min(下層)時1 mM PDT的ESR譜圖。高場(右)線(H)的高度用于量化PDT。(B)Hheight在2日齡(正方形)、5日(圓)和8(三角形)分生孢子中的減少。使用熱滅活2日齡的分生孢子作為對照(三角形O)。誤差線代表生物重復的標準差,r.u.是相對單位。
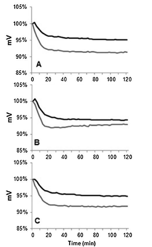
圖4、在2-(A)、5(B)和8-(C)日齡生物重復分生孢子的情況下,表明代謝活性的CO2水平增加,通過CO2傳感器電壓(mV)的降低進行監測。
圖5、在培養基中孵育2-6小時后,2-(A)、5-(B)和8-(C)日齡孢子的大小分布。條形代表靜止分生孢子(21-42升,無陰影條)、腫脹的分生孢子(42-76升,淺灰色條)、發芽分生孢子(76-106升深灰色條)和菌絲生長(106-212升,黑色條)。由2日齡分生孢子(條紋線)、5日齡(虛線)和8日齡分生孢子產生的所有物體的平均大小(D)。
總結
本論文主要就黑曲霉(Aspergillus niger)分生孢子在分生孢子載體上的成熟過程進行研究,旨在揭示分生孢子在不同成熟階段的特性變化及其生態意義。黑曲霉是一種廣泛分布的真菌,其分生孢子在空氣中極為豐富,對生態系統和人類健康具有重要影響。研究通過一系列實驗,探討了分生孢子在基因表達、代謝活性、細胞壁成分、水分分散效率和萌發率等方面的變化。oCelloScope在本研究中發揮了重要的作用,oCelloScope能夠實時監測黑曲霉分生孢子的萌發過程,包括孢子的膨脹、萌發和菌絲生長,它不僅提高了孢子萌發監測的效率和準確性,還為研究孢子萌發機制提供了豐富的數據支持。研究通過詳細的實驗和分析,揭示了黑曲霉分生孢子成熟過程中的復雜性和異質性,為理解這種真菌的生態適應性和生存策略提供了新的視角。同時,研究結果也為進一步探索黑曲霉的基因調控和代謝機制提供了基礎。
相關新聞推薦
1、副溶血弧菌活菌計數方法:MTT比色法、ATP生物發光法和高通量生長曲線(四)
