益生菌菌株生長與來自不同來源的果聚糖的聚合程度和結構相關
研究簡介:果聚糖作為益生元,對健康有益,因此是功能食品行業的重要因素。益生元被定義為不可消化的食品成分,通過選擇性刺激結腸中一種或有限數量細菌的生長和/或活性,從而有益于宿主,從而改善宿主健康。果糖是無支鏈或支鏈果糖寡聚體或聚合物,主要以β-2,1和β-2,6-連接的混合型,對于人類的腸道來說是不可消化的。研究人員應用制備色譜法將菊苣的直鏈菊粉型(β-2,1連接)果聚糖和龍舌蘭的支鏈混合型(β-2,1和β-2,6連接)果聚糖分離成具有不同DPS的餾分,并結合使用Bioscreen全自動生長曲線分析儀確定了所選益生菌菌株的生長曲線。通過獲得的生長曲線證實了所有果聚糖(不論是較高的dp和較低的分支度)都表現出顯著的生長促進作用。嗜酸乳桿菌和副干酪乳桿菌CRL431快速使用了與dp無關的餾分,而其他菌株(即路氏乳桿菌))不使用或僅緩慢使用高dp分數。大多數菌株將果聚糖裂解為較小的單位,然后攝入細胞。該研究發現可能對改進益生元制劑的開發做出重大貢獻。
應用Bioscreen全自動生長曲線分析儀研究不同類型的益生菌在不同聚合度的果糖生長曲線,益生菌的生長曲線是使用Bioscreen全自動生長曲線分析儀根據濁度測量(OD600)得出的。首先制備新鮮的過夜培養物并測定細胞密度。計算最終開始的OD600為(0.1)的單元數量值。將益生菌放在補充有0.5 g/L半胱氨酸鹽酸鹽的PBS中洗滌3次,然后重懸于無碳水化合物來源的MRS-培養基中。陰性對照在無糖的條件下孵育,樣品在Bioscreen蜂窩板中以1%碳水化合物存在,最終體積為200μL。將Bioscreen蜂窩板在37°C下培養48小時,搖勻15秒后每小時測一次OD600。所有樣品均以不同濃度一式三份進行測試,計算平均值并繪制出相關生長曲線圖。
實驗結果:菊苣菊酯型果聚糖和龍舌蘭混合果聚糖對7個益生菌菌株的濁度測定和對其在瓊脂板上培養確證顯示出明顯的益生作用。較低聚合度和/或明顯分支特性的果聚糖增加了益生菌的生長。這也說明確定生長誘導的動力學很重要,因為低和高聚合度(dp)的果聚糖組合可能更適用于快速誘導益生菌的生長,但是要持續到遠端結腸區域。菊粉型直鏈果聚糖通常在細胞外裂解為單糖或雙糖在發酵之前,混合型果聚糖被一些益生菌吸收并在細胞內裂解。細胞內裂解是優選的,因為只有相應的益生菌才可以使用果聚糖源。在細胞外切割的情況下,形成的單糖和二糖也可以被其他菌株使用。
圖1。(A)副干酪乳桿菌SSP的生長曲線。副干酪乳桿菌CRL431,(B)嗜酸乳桿菌(C)鼠李糖乳桿菌GG,(D)羅伊氏乳桿菌,(E)副干酪乳桿菌ssp和副干酪乳桿菌DSM 20312,(F)動物雙歧桿菌,和(G)副干酪乳桿菌亞種。在無糖(對照)0.5%果糖和0.5%來自不同聚合度dp的龍舌蘭果聚糖餾分中的生長情況。從圖中可看出所有施用的果聚糖在所有測試菌株上均顯示出顯著的生長增強,差異取決于益生菌菌株以及果聚糖的分子結構和果糖的聚合度(dp)。通常dp越低,益生菌的誘導生長越快。
圖2、(A)副干酪乳桿菌ssp和副干酪乳桿菌CRL431,(B)嗜酸乳桿菌,(C)鼠李糖乳桿菌GG,(D)羅伊氏乳桿菌,(E)副干酪乳桿菌ssp和副干酪乳桿菌DSM 20312,(F)動物雙歧桿菌,和(G)副干酪乳桿菌亞種和副干酪DN114001在沒有糖(對照),0.5%的存在果糖和0.5%從具有不同的聚合度菊粉中的生長曲線。從圖中可以看出,在所有5種菊粉組分的存在下,嗜酸乳桿菌生長良好。而鼠李糖乳桿菌GG可以使用所有菊粉,但是菊粉來源的使用高度依賴于dp。
圖3、(A)益生菌達到最大OD 600值一半的時間[h]等于中等有效時間ET 50[h];所有樣品的最終濃度為0.5%(n=3)。(B)時間[h],與果糖相比,此時間后最大OD 600值增加20%(n=3)。從圖表中可以看出對于所有益生菌菌株,達到葡萄糖最大半數OD 600的時間(ET 50)最低(3至9小時),其次是果糖(5至11小時)。
圖4。聚合度(dp n)與生長促進的相關性:(A)嗜酸乳桿菌,(B)副干酪乳桿菌。副干酪乳桿菌CRL431,(C)鼠李糖乳桿菌GG和(D)副干酪乳桿菌ssp和副干酪乳桿菌DSM 20312(i)聚合度(dp n)和ET 50的相關性;(ii)果糖存在下dp n與最大OD 600值增加20%的時間相關性。灰色圓圈代表龍舌蘭果聚糖,黑色菱形代表菊粉果類型的果聚糖。
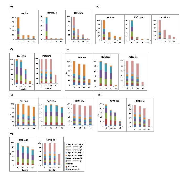
圖5、益生菌對低聚果糖的降解可達dp(10)值:(A)副干酪乳桿菌ssp和副干酪乳桿菌CRL431,(B)嗜酸乳桿菌,(C)鼠李糖乳桿菌GG,(D)羅伊氏乳桿菌,(E)副干酪乳桿菌ssp。副干酪乳桿菌DSM 20312,(F)動物雙歧桿菌,和(G)副干酪乳桿菌亞種和副干酪乳桿菌亞種DN114001。Raftiline®和Raftilose®可以確定所有降解模式。然而對于Metlos®,只有少數模式可以量化,而對于Metlin®,由于分支結構,樣品根本無法量化。
總結:果糖作為益生元,因其對健康的有益作用,是功能食品行業的重要因素。然而到目前為止,尚未完全闡明結構和聚合度(dp)對其益生元作用的影響。本論文的研究人員通過對果聚糖降解模式的闡明有助于解釋益生菌使用具有不同dp的果聚糖的能力。研究人員使用全自動生長曲線分析儀Bioscreen獲得選擇的益生菌菌株在非支鏈菊苣菊粉和龍舌蘭果聚糖的不同dps樣品中的生長曲線,獲得了益生菌的生長曲線圖進一步證實了所有果聚糖(不論是較高的dp和較低的分支度)都表現出對益生菌的顯著生長促進作用。研究發現嗜酸乳桿菌和副干酪乳桿菌CRL431快速使用了與dp無關的餾分,而其他菌株(即路氏乳桿菌)不使用或僅緩慢使用高dp分數。大多數菌株將果聚糖裂解為較小的單位,然后攝入細胞。該研究發現可能對改進益生元制劑的開發做出重大貢獻。這也說明全自動生長曲線分析儀在食品研發方面具有非常好的應用前景。
芬蘭Bioscreen全自動微生物生長曲線分析儀
相關新聞推薦
1、不同包裝方式下清蒸大黃魚貯藏過程中PH值、菌落總數、菌群等的變化情況(一)
2、實時監測藍藻細胞內用于外源生物合成的苯丙氨酸相對含量的方法
3、苯氧乙醇對不同分型的痤瘡丙酸桿菌的生長曲線影響及抑菌機制
