攜帶抗生素耐藥基因沙門菌P1噬菌體-質粒效價、形態、一步生長曲線及最適溫度(二)
1.2.3 P1-CTX噬菌體-質粒最佳感染復數測定
感染復數(multiplicity of infection,MOI)=噬菌體數量(plaque forming unit,PFU)/宿主菌數量(colony forming units,CFU)。不同MOI的效價最高時,即為最佳感染復數。受體菌沙門菌BYC4分別按照MOI值為:10-6、10-5、10-4、10-3、10-2、10-1、1、10混勻,37℃振蕩培養4 h,過濾器除菌后將噬菌體10倍稀釋后,噬菌斑法測定噬菌體效價,每組試驗3個平行。
1.2.4 P1-CTX噬菌體-質粒一步生長曲線測定
噬菌體和受體沙門菌BYC4,按照最佳感染復數混勻。參照屈平平的研究,方法略有改動。每隔15 min取100μL,梯度稀釋后噬菌體斑法測定其效價,每組試驗3個平行。感染時間為X軸,噬菌體效價的log值為Y軸,繪一步生長曲線圖。爆發量為裂解末期噬菌體效價/感染初期宿主菌濃度。
1.2.5 P1-CTX噬菌體-質粒最適生長溫度測定
P1-CTX噬菌體-質粒分別于30℃、40℃、50℃、60℃、70℃和80℃水浴,分別在30、60和90 min各取3管,稀釋后測其效價。
1.2.6 P1-CTX噬菌體-質粒pH穩定性測定
P1-CTX噬菌體-質粒分別加入900μL不同pH(2~13)的SM Buffer,37℃室溫靜置,分別30、60和90 min各取3管樣品,稀釋后測其效價。
1.2.7 P1-CTX噬菌體-質粒轉導及宿主適應性測定
沙門菌或大腸埃希菌受體菌與噬菌體混合,涂布于含CTX 1 mg·L-1的LB固體培養基平板上。PCR的方法驗證頭孢噻肟瓊脂培養基上轉導菌株。
轉導成功的大腸埃希菌和沙門菌及其原菌37℃連續培養12 h。使用酶標儀每隔2 h測定600 nm吸收光下細菌濃度變化。每組實驗設置3個平行計數。
1.2.8 P1-CTX噬菌體-質粒穩定性測定
轉導成功的大腸埃希菌和沙門菌及其原菌37℃連續培養24 h。1∶1 000連續重復傳代30 d。每組試驗設置3個平行計數。
1.2.9數據統計
利用GraphPad prism 5對數據進行處理分析。
2結果
2.1 P1-CTX噬菌體-質粒效價
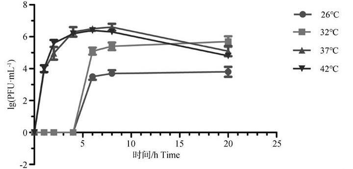
為評估沙門菌J46中P1噬菌體-質粒能否被誘導并釋放出感染子代顆粒,選用噬菌體誘導劑絲裂霉素C,在時間維度上不同溫度條件下進行研究。選取對數期OD600=0.5沙門菌J46四種不同溫度26℃、32℃、37℃、42℃分別連續誘導20 h。結果顯示,不同溫度均可產生感染噬菌體顆粒(圖1)。其中,溫度為37℃和42℃時,誘導時間1 h即有噬菌體產生,誘導時間在4~6 h,噬菌體效價最高,可達約106 PFU·mL-1,隨著時間的延長,噬菌體效價緩慢下降。溫度為26℃和32℃時,誘導時間6 h時可觀察到噬菌體產生,當誘導時間延長到20 h時,其效價仍低于37℃時誘導的最佳效價。
圖1 P1-CTX噬菌體-質粒效價
2.2 P1-CTX噬菌體-質粒形態
沙門菌J46中可誘導P1-CTX噬菌體-質粒,由噬菌斑照片可知,P1-CTX產生的裂解斑塊直徑為1~2 mm,且清晰(圖2A)。P1-CTX噬菌體-質粒屬于肌病毒科,透射電鏡下可觀察到P1-CTX由頭部和尾部組成,頭部為球狀直徑約60~80 nm。尾部約為120~160 nm,且與頭部相連的尾部有髓鞘包裹,尾部可清晰地觀察到中空的尾管結構,與已公布的標準P1噬菌體一致(圖2B)。
A.P1-CTX噬菌斑;B.透射電子顯微鏡下P1-CTX噬菌體形態
圖2 P1-CTX噬菌體-質粒噬菌斑和電鏡下形態
2.3 P1-CTX噬菌體-質粒最佳感染復數MOI
為檢測噬菌體P1最佳感染復數,噬菌體和受體菌共培養后通過噬菌斑計數試驗檢測。結果如表1所示,當P1-CT噬菌體-質粒和受體菌比例為0.01時,為最佳感染復數,可產生最多的噬菌體子代,噬菌體效價為1.97×108 PFU·mL-1。隨著MOI值的降低,噬菌體效價值呈現明顯下降,而隨著MOI值的增大,噬菌體效價變化幅度較小,均維持在108 PFU·mL-1水平。
表1 P1-CTX噬菌體-質粒最佳感染復數
2.4 P1-CTX噬菌體-質粒一步生長曲線
噬菌體的裂解周期,其增殖過程包括五個階段,分別為吸附、核酸注入、DNA合成、噬菌體粒子組裝和裂解細胞釋放。噬菌體的吸附、增殖和裂解可用一步生長曲線描述。由圖3可以看出,P1-CTX噬菌體-質粒從吸附到裂解釋放出噬菌體顆粒的潛伏期為45 min,從檢測出噬菌體到噬菌體數量達到頂值,裂解期持續約50 min,約100 min后達到平臺期,裂解末期噬菌體數量約為1.0×108 PFU·mL-1,P1噬菌體的裂解量為63 PFU·cell-1。
圖3 P1-CTX噬菌體-質粒一步生長曲線
相關新聞推薦
2、?微生物生長曲線分析系統研究復雜鹽度下單核細胞增生李斯特菌的生長速度
