?4株金黃色葡萄球菌噬菌體形態、生物學特性、生長曲線及基因組特征(二)
2、結果與討論
如圖1,本研究以金葡菌ATCC 29213為宿主菌,通過雙層平板法,從揚州市內污水樣品中分離得2株SA烈性噬菌體,分別命名為SAPYZU-04和SAPYZU-15。利用絲裂霉素C從已分離純化的金葡菌YZUsa13和YZUsa14中誘導出2株溫和噬菌體,分別命名為SAPYZU-SapM13和SAPYZU-SapM14。4株噬菌體的噬菌斑均呈圓形透亮、邊界清晰,直徑為0.8~1.5 mm。
圖1噬菌斑形態圖
2.1噬菌體的電鏡形態
通過透射電鏡觀察噬菌體微觀形態,結果如圖2所示。烈性噬菌體SAPYZU-04和SAPYZU-15均有一個呈正多面體結構頭部和一個可伸縮的尾巴,頭部長度分別約為64.96 nm和88.68 nm,尾部長度約為165.03 nm和176.89 nm。而溫和噬菌體SAPYZU-SapM13和SAPYZU-SapM14均有一個呈橢球形頭部和一個不可伸縮的長尾,頭部長度分別約為長直徑:84.26、71.82 nm和短直徑:44.73、47.71 nm,尾部長度約為254.43 nm和266.17 nm。結果顯示烈性噬菌體SAPYZU-04和SAPYZU-15的顯微形態與黨瑞瑩等、張志宏等和涂尊方等的研究一致;而溫和噬菌體SAPYZU-SapM13和SAPYZU-SapM14的電鏡形態與Zhang等、Yang等和Feng等的研究結果一致。
圖2噬菌體的形態
2.2裂解譜
應用空斑法測試噬菌體SAPYZU-04、SAPYZU-15、SAPYZU-SapM13和SAPYZU-SapM14對51株金葡菌菌株YZUsa1-YZUsa47、ATCC 29213、MRSA 85/2082、MRSA JCSC4744、MRSA WZ153和5株其他菌屬菌株的裂解特性,結果如表1所示。烈性噬菌體SAPYZU-04和SAPYZU-15均能裂解51株金葡菌,裂解率為100%,并且噬菌斑較透亮,+++數量均達到56%;而噬菌體SAPYZU-SapM13能裂解48株SA菌株,裂解率為94%,噬菌體SAPYZU-SapM14能裂解44株SA菌株,裂解率為86%。然而,這4株噬菌體對于單核增生性李斯特菌ATCC 1911、腸炎沙門氏菌CICC 21513、大腸桿菌CICC 10664、最小弧菌CICC21613以及霍氏腸桿菌Eh-YZU05均沒有裂解能力。4株噬菌體SAPYZU-04、SAPYZU-15、SAPYZU-SapM13和SAPYZU-SapM14均比王一帆等(1/11,9%)、Yang等(13/30,43%)、黨瑞瑩等(23/63,36%)、Feng等(61/138,44%)和張志宏等(10/37,27%)分離的噬菌體的裂解譜更寬。噬菌體較寬的宿主譜是其用于生物防治的重要特性,因此,噬菌體裂解譜的測定對于選擇應用于食品中的生物抑菌劑至關重要。此外,溫和噬菌體SAPYZU-SapM13和SAPYZU-SapM14在進行宿主譜測定實驗時,對他們的溶原菌仍有裂解作用,該結果與Zhang等和Feng等的研究一致。研究表明一些噬菌體裂解宿主菌是一種“從外裂解”的過程,這個過程是高濃度噬菌體吸附宿主菌后快速破壞宿主細菌細胞。因此,本研究的溫和噬菌體SAPYZU-SapM13和SAPYZU-SapM14進行宿主譜測定時濃度遠大于宿主細菌細胞是其顯示裂解特性的原因之一。
表1噬菌體的宿主譜
2.3最佳MOI
用不同MOI比例的噬菌體SAPYZU-04、SAPYZU-15、SAPYZU-SapM13和SAPYZU-SapM14感染宿主菌,培養8 h后測定噬菌體效價。如圖3所示,噬菌體SAPYZU-04在MOI為0.01(P<0.05)時,效價最高(約為109PFU/mL);噬菌體SAPYZU-15在MOI為0.000 1時,效價最高(約為1010PFU/mL);噬菌體SAPYZU-SapM13在MOI為0.1時,效價最高(約為1010PFU/mL);噬菌體SAPYZU-SapM14在MOI為0.01(P<0.01)時,效價最高(約為109PFU/mL)。因此,噬菌體SAPYZU-04、SAPYZU-15、SAPYZU-SapM13和SAPYZU-SapM14的最佳MOI分別為0.01、0.000 1、0.1和0.01。
圖3噬菌體最佳MOI測定結果
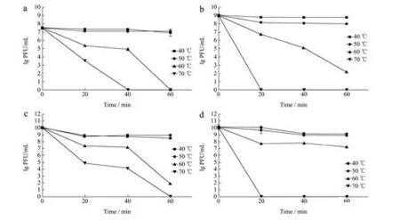
圖4噬菌體的熱穩定性
2.4噬菌體的熱穩定性
如圖4所示,金黃色葡萄球菌噬菌體SAPYZU-04、SAPYZU-15、SAPYZU-SapM13和SAPYZU-SapM14在40℃和50℃條件下作用1 h效價基本不變,效價分別為5.63×107、1.34×109、1.12×109和1.27×1010PFU/mL;在60℃條件下隨著作用時間越長,噬菌體SAPYZU-04、SAPYZU-15、SAPYZU-SapM13和SAPYZU-SapM14效價越低。分別在70℃孵育40、20和20 min時,噬菌體SAPYZU-04、SAPYZU-15和SAPYZU-SapM14完全失活,而噬菌體SAPYZU-SapM13在70℃孵育60 min時完全失活。結果表明4株噬菌體SAPYZU-04、SAPYZU-15、SAPYZU-SapM13和SAPYZU-SapM14對高溫的耐受能力均強于Kraushaar等報道的金葡菌噬菌體。
2.5噬菌體的耐酸堿能力
如圖5所示,噬菌體SAPYZU-04、SAPYZU-15、SAPYZU-SapM13和SAPYZU-SapM14在酸度較高的環境(pH值為2)中會完全失活;在pH值為3~12時活性較穩定。在pH值為5時,噬菌體SAPYZU-04的效價最高為1.31×107PFU/mL(P<0.05);pH值為9時,噬菌體SAPYZU-15的效價最高為8.94×106PFU/mL;而噬菌體SAPYZU-SapM13和SAPYZU-SapM14在pH值為8時效價最高,分別為9.18×107PFU/mL和9.52×107PFU/mL。結果表明噬菌體SAPYZU-04、SAPYZU-15、SAPYZU-SapM13和SAPYZU-SapM14在pH值為3~12范圍內均保持良好活性,其對酸堿的耐受能力均強于盧瑋等分離的金葡菌噬菌體(pH值為6~11范圍內穩定)。
圖5噬菌體的耐酸堿能力
4株金黃色葡萄球菌噬菌體形態、生物學特性、生長曲線及基因組特征(一)
4株金黃色葡萄球菌噬菌體形態、生物學特性、生長曲線及基因組特征(二)
4株金黃色葡萄球菌噬菌體形態、生物學特性、生長曲線及基因組特征(三)
相關新聞推薦
1、大腸桿菌噬菌體Bp4抗性菌株與其敏感菌株培養特性及耐藥性檢測(一)
